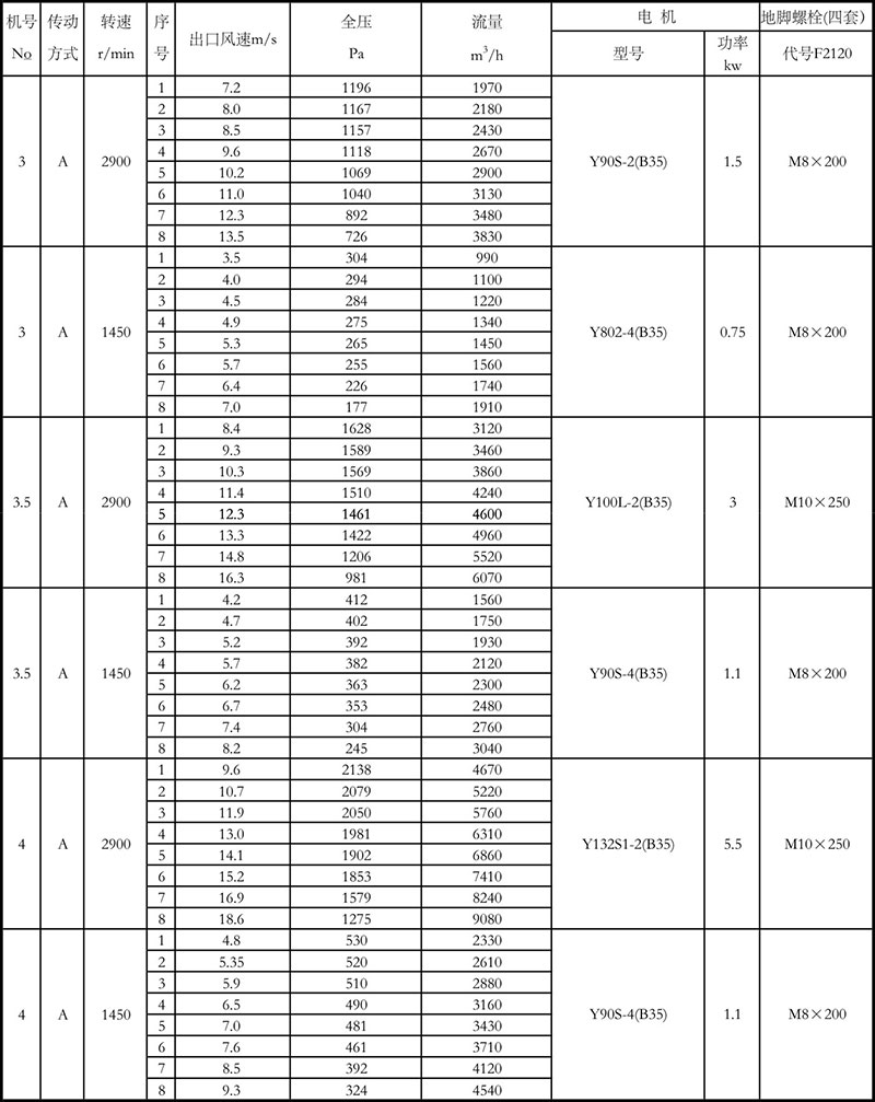
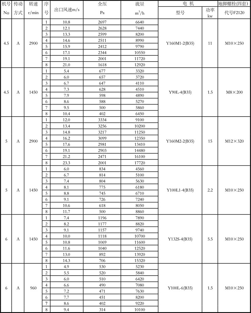
中低壓離心風(fēng)機(jī)系列
- 4-68型離心風(fēng)機(jī)
- 4-72型離心風(fēng)機(jī)
- 4-79型離心風(fēng)機(jī)
- G4-68、Y4-68型鍋爐離心風(fēng)機(jī)
- Y4-73-11型鍋爐離心風(fēng)機(jī)
- G4-73-11型鍋爐離心風(fēng)機(jī)
- T4-72型離心風(fēng)機(jī)
- 5-47型離心風(fēng)機(jī)
- 5-48型離心風(fēng)機(jī)
- 6-30型離心風(fēng)機(jī)
- 6-51型離心風(fēng)機(jī)
高壓離心風(fēng)機(jī)系列
高溫離心風(fēng)機(jī)系列
- W4-72型離心風(fēng)機(jī)
- W5-48型離心風(fēng)機(jī)
- W6-51型離心風(fēng)機(jī)
- W9-26型離心風(fēng)機(jī)
- W9-28型離心風(fēng)機(jī)

















